It’s important to know our portfolio performance after investment. Tracking our returns shows if we’re on the right path. But the calculation of returns can feel tricky, right? Don’t worry; it’s simpler than it sounds. We want to know if our investments are growing, staying the same, or losing value.
This article will show how to calculate portfolio investment returns and what numbers to pay attention to.
Advertisement
What are Portfolio Returns
Portfolio returns show how much our investments have gained or lost over time. It’s like checking our bank account to see if our money is increasing. There are two main types of returns:
- Absolute Return: This is the total gain or loss on our investment without considering the time it took. For example, if we invested $1,000 and it grew to $1,200, our absolute return is $200.
- Relative Return: This compares our investment’s performance to a benchmark, like the S&P 500. If the S&P 500 grew by 10% and our investment grew by 12%, our relative return is 2% better than the benchmark.
Key Metrics for Measuring Portfolio Investment Returns
We use these key metrics to understand our investment performance better:
- Total Return: This includes all gains and losses, plus any income like dividends or interest.
- Annualized Return: This shows what our return would be if it stayed the same every year. It’s useful for comparing investments over different periods.
- Compounded Annual Growth Rate (CAGR): This tells us the mean annual growth rate of our investment over a specified period longer than one year.
- Time-weighted return (TWR): This measures the compound growth rate of one unit of currency invested in a portfolio over a specified period.
- Money-weighted return (MWR): This is similar to the internal rate of return (IRR) and considers the timing and size of cash flows into and out of the portfolio.
How to Calculate Portfolio Returns (Step-by-Step Guide)

Let’s go through the steps to calculate our portfolio returns:
Step 1: Gather Portfolio Data
- Initial Investment: The amount we started with.
- Cash Flows: Any additional money we added or withdrew during the investment period.
- Dividends and Interest: Income earned from our investments.
- Ending Value: The value of our portfolio at the end of the period.
Step 2: Calculate Absolute Return
Use this formula:

For example, if we started with $1,000 and ended with $1,200:

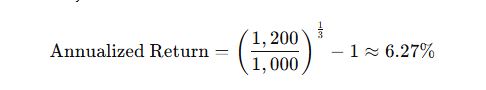
Step 3: Calculate Annualized Return
If our investment period was 3 years, we use:

Where n is the number of years. So:

Step 4: Adjust for Dividends and Additional Investments
If we received $50 in dividends and added $100 during the period, we adjust the ending value:
Adjusted Ending Value=
Adjusted Ending Value = Ending Value + Dividends − Additional Investments
So:

Then, recalculate the returns using the adjusted value.
Step 5: Compare Against a Benchmark
We can look at a benchmark like the S&P 500 To see how our investment performed compared to the market. If the S&P 500 grew by 10% and our investment grew by 12%, our relative return is 2% better than the benchmark.
Factors Affecting Portfolio Returns
Several factors can influence our portfolio investment returns:
- Market Fluctuations: The ups and downs of the market can affect our investments.
- Asset Allocation: How we divide our investments among different asset types (stocks, bonds, real estate) impacts returns.
- Fees and Taxes: High fees and taxes can reduce our overall returns.
- Dividend Reinvestment: Reinvesting dividends can boost our returns over time.
Tools & Software for Tracking Portfolio Returns
To help us track and calculate our returns, we can use:
- Excel: We can create spreadsheets to calculate returns and track performance.
- Online Tools: Websites like Morningstar and Personal Capital offer tools to monitor our investments.
- Brokerage Platforms: Many investment platforms provide performance-tracking features.
Final Thoughts
Calculating our portfolio returns helps us understand how well our investments are doing. By using the steps and tools mentioned, we can track our performance and make informed decisions. Remember, investing is a long-term journey, and regularly reviewing our returns can help us stay on track toward our financial goals.
Advertisement
Frequently Asked Questions (FAQs)
We multiply each asset’s return by its weight in the portfolio and sum these values to calculate portfolio returns.
We can calculate the return on investment by dividing the net gain by the initial investment and multiplying it by 100.
The formula for return on investment is: (Gain from Investment – Cost of Investment) / Cost of Investment × 100.
In Excel, we can use the XIRR function to calculate investment returns by putting cash flows and dates.
The correct formula for return on investment is: (Gain from Investment – Cost of Investment) / Cost of Investment × 100.
Subtract the inflation rate from the nominal return to calculate the real return on investment.
Disclaimer
Trading involves risks. While artificial intelligence for stock trading can improve decision-making, it’s not foolproof. Always do your research and consult experts before making financial decisions. AI is a tool to assist you, not a guarantee of success.
Advertisement
What brings you to Meyka?
Pick what interests you most and we will get you started.
I'm here to read news
Find more articles like this one
I'm here to research stocks
Ask our AI about any stock
I'm here to track my Portfolio
Get daily updates and alerts (coming March 2026)